3.等比数列与等比(几何)级数
a1, a1q, a1q2, a1q3, L (q为常数)
称为公比为q的等比数列.与等比数列相应的级数称为等比级数,又称几何级数.
通项公式
前n项和
等比中项
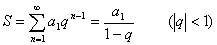
无穷递减等比级数的和